新手必读:
各市成考:
快速导航关闭

关注湖北成考网公众号

免费获取成考最新资讯和资料

+关注
报考指南
招生院校
辅导资料
湖北地级市成人高考
湖北成人高考网 > 湖北成考辅导 > 高起点辅导 > 数学 > 详情
湖北成人高考网 > 湖北成考辅导 > 高起点辅导 > 数学 > 2019年湖北成人高考高起点《数学》模拟试题及答案(6)

2019年湖北成人高考高起点《数学》模拟试题及答案(6)

湖北成考网 湖北成考 2019-11-06 10:40 交流群+

【摘要】2019年湖北成人高考高起点《数学》模拟试题及答案(4) 【导语】成人高考数学科目可以说是很多人觉得比较难的科目了,数学题对考生的基础知识比较看重,数学试卷本身的结构是一个...

2019年湖北成人高考高起点《数学》模拟试题及答案(6)
 
【导语】成人高考数学科目可以说是很多人觉得比较难的科目了,数学题对考生的基础知识比较看重,数学试卷本身的结构是一个逐步由浅入深的,所以考生在拿到数学卷时,尽量依次做,切忌先从大题开始。我们只要遵循一个原则:先易后难。为了帮助大家更好的复习数学科目,湖北成人高考网给大家整理了2019年湖北成人高考高起点《数学》模拟试题及答案,一起来练习一下吧。
 
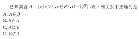
第1题
 
答案:D
 
第2题
 
答案:C
 
第3题
 
答案:C
 
第4题
 
答案:B
 
第5题 直线l的方程为x-y-2=0,它关于点(1,-4)的对称直线方程为(    )
 
A.x+y-8=0B.x-y-8=0C.z+y+8=0D.x-y+8=0
 
答案:C
 
第6题 设集合A={x||x|<2),B={x|x≤a),若A?B,则有(    )
 
A.a>2 B.a≤2C.a≥2D.a<2
 
答案:C
 
第7题
 
答案:D
 
第8题
 
答案:A
 
第9题 设甲仅是乙的充分条件,乙是丙的充要条件,丙仅是丁的必要条件,那么丁是甲的(    )
 
A.充分条件但不必要条件   B.必要条件但不充分条件   C.充分必要条件   D.既非充分也非必要条件
 
答案:D
 
第10题
 
答案:D

点击查看:2019年湖北成人高考高起点《数学》模拟试题及答案汇总
最新成考各种真题资料包,限时免费领取!
真题资料包

成人高考备考资料免费领

填写信息后即可免费领取以下
成人高考备考大礼包

  • 成人提升学历途径全解

    一对一学历规划师讲解+分析适合哪种方式

  • 成人高考从报名到毕业手册指南

    最新成人高考报考指南,手册在手,轻松报考

  • 成人高考精讲视频课程+在线模拟考试系统

    经典题型答题技巧+重难点题型划分

  • 湖北成人高考学校专业表

    汇总湖北所有成人高校招生专业+学费+解析

  • 成人高考辅导报名助学金

    100-400元随机成人高考辅导报名助学金

湖北成考网微信公众号

转载请注明:文章转载自   湖北成考网 www.hbcrgk.com
本文地址:http://www.hbcrgk.com/shuxueg/8780.html

提示:系统将安排老师联系您,请保持手机畅通!

湖北成考网交流群

扫一扫加入微信交流群

与考生自由互动、并且能直接与资深老师进行交流、解答
湖北成考网公众号

扫一扫加入微信公众号

关注湖北成考网微信公众号,回复“福利”即可申请学费优惠
关于我们 在线报名 网站地图 联系我们

Copyright 2009-2023 湖北成考网 www.hbcrgk.com All rights reserved

声明:本站为湖北成考交流信息网站,敬请考生以权威部门公布的正式信息为准

ICP备案号:鄂ICP备14009716号-5 公安备案号:42011102001592法律顾问:王伟

考生在线咨询

湖北成考网微信公众号 湖北成考网微信公众号
返回顶部∧

在线咨询

考试科目

招生问答

考试提醒

考 生 群

毕业评估